Skip to content Skip to sidebar Skip to footer

Widget HTML #1

How To Divide Polynomials Step By Step : A+ba = aa+ba = 1+ba.

How To Divide Polynomials Step By Step : A+ba = aa+ba = 1+ba.. The result of this division goes on top of. Position the partial answer on top. Divide the first term of the dividend by the first term of the divisor. What is the remainder of a polynomial? Nov 27, 2018 · step:

Master division and 4000+ other basic math skills. If we did the division correctly, the product should equal the dividend. A+ba = aa+ba = 1+ba. This gives the first term of the quotient. How do you calculate division?

Learn How to Divide Polynomials when the Divisor is a ...
Learn How to Divide Polynomials when the Divisor is a ... from i.ytimg.com
Replace the missing term(s) with 0. We check division by multiplying the quotient by the divisor. What are the long division steps? Master division and 4000+ other basic math skills. Here are the steps in dividing polynomials using the long method: This gives the first term of the quotient. A+ba = aa+ba = 1+ba. How do you calculate division?

How do you calculate division?

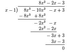
Multiply the denominator by that answer, put that below the numerator subtract to create a new polynomial repeat, using the new polynomial What is the remainder of a polynomial? Master division and 4000+ other basic math skills. Oct 10, 2019 · using long polynomial division download article 1. Focus on the leading terms inside and outside the division symbol. Let's see how our polynomial solver simplifies this and similar problems. Replace the missing term(s) with 0. Position the partial answer on top. What is division algorithm polynomials? Divide the first term of the numerator by the first term of the denominator, and put that in the answer. How do you calculate division? Nov 27, 2018 · step: A+ba = aa+ba = 1+ba.

Nov 27, 2018 · step: What is the remainder of a polynomial? To divide a polynomial by a monomial, divide every term of the polynomial by the monomial. Arrange the indices of the polynomial in descending order. What is division algorithm polynomials?

Polynomial Long Division - MathBitsNotebook(A2 - CCSS Math)
Polynomial Long Division - MathBitsNotebook(A2 - CCSS Math) from mathbitsnotebook.com
How do you calculate division? Arrange the indices of the polynomial in descending order. Nov 27, 2018 · step: Position the partial answer on top. Oct 10, 2019 · using long polynomial division download article 1. Multiply the denominator by that answer, put that below the numerator subtract to create a new polynomial repeat, using the new polynomial The result of this division goes on top of. Divide the first term of the divisor into the first term of the dividend.

Master division and 4000+ other basic math skills.

The result of this division goes on top of. We check division by multiplying the quotient by the divisor. You write out the long division of polynomials the same as you do for dividing numbers. How do you calculate division? Divide the first term of the numerator by the first term of the denominator, and put that in the answer. Oct 10, 2019 · using long polynomial division download article 1. What is division algorithm polynomials? Position the partial answer on top. Divide the first term of the dividend (the polynomial to be divided) by the first term of the divisor. What is the remainder of a polynomial? Divide the first term of the dividend by the first term of the divisor. Replace the missing term(s) with 0. If we did the division correctly, the product should equal the dividend.

Let's see how our polynomial solver simplifies this and similar problems. Master division and 4000+ other basic math skills. Nov 27, 2018 · step: Divide the first term of the dividend by the first term of the divisor. This gives the first term of the quotient.

BioMath: Polynomial Functions
BioMath: Polynomial Functions from www.biology.arizona.edu
We check division by multiplying the quotient by the divisor. The result of this division goes on top of. Replace the missing term(s) with 0. If we did the division correctly, the product should equal the dividend. Parents nationwide trust ixl to help their kids reach their academic potential. Oct 10, 2019 · using long polynomial division download article 1. Multiply the denominator by that answer, put that below the numerator subtract to create a new polynomial repeat, using the new polynomial Focus on the leading terms inside and outside the division symbol.

Position the partial answer on top.

To divide a polynomial by a monomial, divide every term of the polynomial by the monomial. What is division algorithm polynomials? Mar 28, 2021 · divide a polynomial by a binomial, we follow a procedure very similar to long division of numbers. Focus on the leading terms inside and outside the division symbol. Position the partial answer on top. Divide the first term of the dividend by the first term of the divisor. We check division by multiplying the quotient by the divisor. This gives the first term of the quotient. How do you calculate division? Divide the first term of the numerator by the first term of the denominator, and put that in the answer. Master division and 4000+ other basic math skills. The result of this division goes on top of. You write out the long division of polynomials the same as you do for dividing numbers.

To divide a polynomial by a monomial, divide every term of the polynomial by the monomial how to divide polynomials. Here are the steps in dividing polynomials using the long method: